36 state space block diagram
Software Reference. ss - Function; State-Space - Simulink Block; Conversion Between Model Types - Documentation; place - ... It deals with the mechanical system with two degrees of freedom. State-Space block solution is compared with solution made by an alternative approach, using so ...
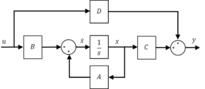
Block diagram representation of the linear state-space equations The most general state-space representation of a linear system with p {\displaystyle p} inputs, q {\displaystyle q} outputs and n {\displaystyle n} state variables is written in the following form: [14]

State space block diagram
Block Diagrams. 3. Exercises. 1.1 STATE-SPACE LINEAR SYSTEMS. A continuous-time state-space linear system is defined by the following two equations:.6 pages by D Rowell · 2002 · Cited by 81 — This general block diagram shows the matrix operations from input to output in terms of the A, B, C, D matrices, but does not show the path of individual ...18 pages state space representation transfer function representation ... One can represent a large system as an interconnection of block diagrams of subsystems.
State space block diagram. (a) Draw a block diagram of the realization with an integrator for each state- variable. (h) A student has computed det C = 2.3 x 10-7 and Question : 7.29 The state-space model for a certain application has been given to us with the following state description matrices: *0.174 0 0 0 0 -0.207 0.157 0.64500 0 -0.005 A=0 1 0 0 0 B 0 0 0 1 0 0 0 0 ... A process transitions to a blocked state when it cannot carry on without an external change in state or event occurring. For example, a process may block on a call to an I/O device such as a printer, if the printer is not available. Telephone, radio, television, internet, and military applications use satellite communications. Believe it or not, more than 2000 artificial satellites are hurtling around in space right above your heads. Satellite Communication Block Diagram. Need for Satellite Communication The equivalent block diagram is shown below. Similarly, you can represent the positive feedback connection of two blocks with a single block. The transfer function of this single block is the closed loop transfer function of the positive feedback, i.e., $\frac{G(s)}{1-G(s)H(s)}$ Block Diagram Algebra for Summing Points
Rule 6 − Repeat the above steps till you get the simplified form, i.e., single block. Note − The transfer function present in this single block is the transfer function of the overall block diagram. Example. Consider the block diagram shown in the following figure. Let us simplify (reduce) this block diagram using the block diagram ... Another, powerful, way to develop a state space model is directly from the free body diagrams. If you choose as your state variables those quantities that ... Feb 04, 2020 · In the Options dialog box, select the Block Diagram category. Here you can customize the appearance of your block diagram. To save space on the block diagram, deselect Place front panel terminals as icons. Terminals. Terminals create the block diagram appearance of objects on the front panel. state space representation transfer function representation ... One can represent a large system as an interconnection of block diagrams of subsystems.
by D Rowell · 2002 · Cited by 81 — This general block diagram shows the matrix operations from input to output in terms of the A, B, C, D matrices, but does not show the path of individual ...18 pages Block Diagrams. 3. Exercises. 1.1 STATE-SPACE LINEAR SYSTEMS. A continuous-time state-space linear system is defined by the following two equations:.6 pages
What Is Significance Of These Variables In Given Block Diagram Of System Electrical Engineering Stack Exchange
Identifying Discrete Time State Space Models System Identification Toolkit Labview 2013 System Identification Toolkit Help National Instruments
Solved Given The Block Diagram Shown Below 10 0 1 Find A B Cand D In The State Space Equations X Ax Bu Y Cx Du Where X Is The State Vector 4 Is The Input Vector And
Ee 460 Advanced Control And Sys Integration State Space Realizations Fri Sept 11 Ee 460 Advanced Control And System Integration Slide 1 Of Ppt Download
0 Response to "36 state space block diagram"
Post a Comment